October 30, 2025
🎃 Trick or Treat… It’s RISA-Jeopardy! 👻
Halloween isn’t just for candy and costumes—it’s the perfect time to test your spooky engineering skills! We’ve brewed up a Halloween-themed RISA Jeopardy game, packed with fun, easy questions about our software. Tip for readers: Try to answer before revealing the “treat” below each question! 💀 Can You Count? 100 – RISACalc: How many components are currently available in RISACalc? 10 (Beam, Column, Steel Joist, Composite Beam, Retaining Wall, Spread Footing, Wall Footing, Drilled Pier, Seismic Load, Wind Load) 200 – FD: How many Data Entry spreadsheets are available in RISAFoundation? 25 300 – RISA-3D: How many countries or regions have building codes supported in RISA-3D? 9 (US, Canada, Mexico, Europe, Great Britain, India, Australia, New Zealand, Saudi Arabia) 🎃 Adaptable 100 – ADAPT: Which of these is not an ADAPT product? ADAPT-Builder, ADAPT-Felt, ADAPT-Floor, ADAPT-ABI ADAPT-Floor 200 – ADAPT: Which mode of ADAPT-Builder is used to design slabs-on-grade on expansive soils using the PTI method? ADAPT-SOG 🕸️ The Whole Family 100 – Other: This steel detailing software and fellow Nemetschek brand has a built-in export option in RISA-3D. SDS2 200 – Other: Which design code is the most common in our software, found in 8 of our 10 programs?…
Read More
Steel (2)
Connection Design per AISC 15th Edition Steel Manual now Available
Connection design according to the new AISC 360-16 (15th Ed.) Steel Manual...
Updates to HSS Connections (Chapter K) according to AISC 15th Edition…
The most recent release of AISC 360-16 (15th Edition) includes changes to...
What's New in RISAConnection v10
The release of RISAConnection v10 incorporates updates according to AISC...
Tapered Gusset Plates using Custom Angle
Modeling tapered gusset plates in RISAConnection is now easier than ever....
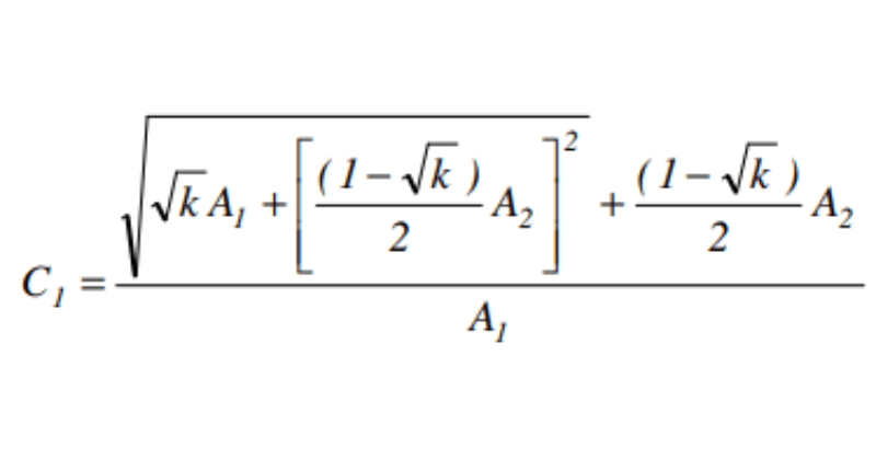
Eurocode C1 Factor for Lateral Torsional Buckling
Eurocode lateral torsional buckling capacity is calculated per equations...
Steel Design per AISC 15th Edition Steel Manual now Available
The new AISC 360-16 15th Edition changes have been implemented into...
Cold-Formed Steel Design Codes Update
An update to the Cold-Formed Steel Design Codes has been added to RISA-3D...
British Annex (BS EN1993-1-1:2014) for Steel Design now Available
The new British Annex (BS EN1993-1-1:2014) for the European Hot Rolled...
Subscribe to Our Newsletter
Our monthly "Structural Moment" newsletter is the best way to keep up with RISA’s product updates, new releases, new features, training events, webinars and more...

