1 min read

Why Do My Wide Flange Members Fail in the AISC 14th Edition Code?

Why Do My Wide Flange Members Fail in the AISC 14th Edition Code?

In RISA-3D’s addition of the AISC 14th Edition code we added Section E4 checks to wide flange members. Section E4 is Torsional and Flexural-Torsional Buckling of Members Without Slender Elements and is for compression capacity.

Specific to wide flanges is the Fe equation E4-4. In that equation is a reference to L, which is referring to the torsional unbraced length. In RISA-3D this is defined in the Members spreadsheet – Hot Rolled tab and defaults to the full length of member, similar to other unbraced lengths.

Ltorque

This can cause a reduced compression capacity compared to what is found in Section E3. If you notice a wide flange member that passed in the AISC 13th Edition and is now failing in the AISC 14th Edition, this may be the cause. A quick way to confirm this is to update the L-torque value to 0 and see if you now getting a passing check.

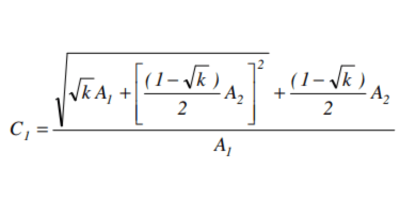
Eurocode C1 Factor for Lateral Torsional Buckling

Eurocode C1 Factor for Lateral Torsional Buckling

Eurocode lateral torsional buckling capacity is calculated per equations in Annex F in the ENV 1993-1-1:1992. This calculation uses variables...

Read More
Tapered Member Design Using AISC Design Guide 25

Tapered Member Design Using AISC Design Guide 25

RISA has now incorporated the tapered member design provisions from Steel Design Guide 25: Frame Design Using Web-Tapered Members written by...

Read More
Design of CFS Face-to-Face Channels & Tube Shapes now Available

Design of CFS Face-to-Face Channels & Tube Shapes now Available

RISA-3D can design the Cold Formed Steel face-to-face channel and track sections. You can also get design of a Cold Formed Steel tube shape in...

Read More