1 min read

Eurocode C1 Factor for Lateral Torsional Buckling

Eurocode C1 Factor for Lateral Torsional Buckling
 

Eurocode lateral torsional buckling capacity is calculated per equations in Annex F in the ENV 1993-1-1:1992. This calculation uses variables C1, C2 and C3. Since there is no generic formula in the Eurocode to calculate the moment gradient factor, C1, RISA will use the widely accepted López, Yong and Serna method by default.

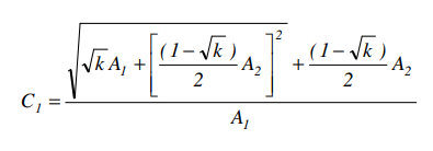
The method proposed by López, Yong and Serna in their paper “ Lateral-Torsional Buckling of Steel Beams: A General Expression for the Moment Gradient Factor” to determine the moment gradient factor takes into account both the moment diagram and support conditions. The general proposed closed form expression presented by López et al is the following:

Euroequation

Where k is,

Euroequation2

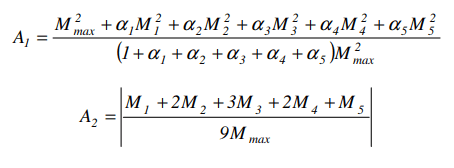
A1 and A2 are given by,

Euroequation3

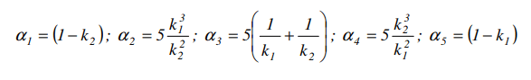
where,

Euroequation4

The contribution of the support conditions are considered in the k1 and k2 terms. When lateral bending and warping are free, k1 or k2 is equal to 1.0 for the corresponding support. When lateral bending and warping are prevented, k1 or k2 is taken as 0.5.

The values rendered using this closed form expression have been shown to match closely with numerical results in comparison to methods proposed by AISC and BS 5950-1. However, the user can always override this value within the Design Properties in the Properties Panel.

C1

Alternatively, this override is also in the Hot Rolled tab of the Members spreadsheet.

C1 2

 

British Annex (BS EN1993-1-1:2014) for Steel Design now Available

British Annex (BS EN1993-1-1:2014) for Steel Design now Available

The new British Annex (BS EN1993-1-1:2014) for the European Hot Rolled Steel material code is now available in RISA-3D v16 and RISAFloor v12.

Read More
Cold-Formed Steel Design Codes Update

Cold-Formed Steel Design Codes Update

An update to the Cold-Formed Steel Design Codes has been added to RISA-3D v16.0 and RISAFloor v12.0. Updated Codes include:

Read More
CSA S16-14 Canadian Steel Code now Available

CSA S16-14 Canadian Steel Code now Available

RISA-3D now supports hot rolled steel design for the Canadian market according to CSA S16-14.

Read More